<span style="font-size:16px;"> 重度聽力損失是500Hz、1000Hz、2000Hz和4000Hz平均聽閾在61dB HL和80dB HL之間的聽力損失。重度聽損患者更趨向于:</span></p><p><span style="font-size:16px;"> (1)聽力損失時間較久;</span></p><p><span style="font-size:16px;"> (2)有助聽器佩戴史;</span></p><p><span style="font-size:16px;"> (3)言語分辨率較低;</span></p><p><span style="font-size:16px;"> (4)噪音環境中交流困難。</span></p><p><span style="font-size:16px;"> 1、重度聽力損失的特點</span></p><p><span style="font-size:16px;"> 60dB HL是單純外毛細胞損傷和內外毛細胞共同損傷的分界點,內毛細胞受損預示著重度聽力損失,這類患者的頻率選擇能力降低,在相關頻率范圍內難以分辨兩種聲音。這是噪聲環境下交流困難的主要原因。</span></p><p><span style="font-size:16px;"> 簡單來說,頻率選擇能力越低,自身降噪能力越差,噪聲下識別信號的能力也就越差。</span></p><center><span style="font-size:16px;"><img alt="" src="/upfiles/20181016012659501.png" width="440" height="250" /></span></center><p></p><p><span style="font-size:16px;"> 2、選擇合適的放大策略</span></p><p><span style="font-size:16px;"> 反饋抑制:這項技術在傳統方法的基礎上有更好的減少嘯叫的效果。</span></p><p><span style="font-size:16px;"> 指向性麥克風:有指向性功能的助聽器可以明顯提高信噪比(SNR)。現在自適應指向性麥克風廣泛地應用于大功率耳背機中。</span></p><p><span style="font-size:16px;"> 對于噪聲下言語交流困難的重度聽力損失患者,選配帶有指向性麥克風的助聽器效果顯著。</span></p><p><span style="font-size:16px;"> 聽力學家對重度聽損人士的指向性麥克風做過獲益度測試,發現平均言語識別能力提升了14%。</span></p><p><span style="font-size:16px;"> 重度聽損患者使用指向性功能時必須保證一定低頻增益,否則他們會感覺聲音不夠洪亮。</span></p><center><span style="font-size:16px;"><img alt="" src="/upfiles/201810160127134771.png" width="440" height="250" /></span></center><p></p><p><span style="font-size:16px;"> 寬動態范圍壓縮線路(WDRC):</span></p><p><span style="font-size:16px;"> 如下圖,白點是重度聽力損失患者的輔音識別得分,黑點是輕度至中度聽損患者的輔音識別得分;每位受試者佩戴四通道的耳背機,驗配采用NAL公式;測試言語聲強度分別為50dB SPL、65dB SPL和80dB SPL;比較WDRC和線性輸出壓縮限制(CL)兩種線路的得分。</span></p><center><span style="font-size:16px;"><img alt="" src="/upfiles/201810160127198326.png" width="600" height="240" /></span></center><p></p><p><span style="font-size:16px;"> 等分位于對角線附近代表兩種處理方式效果相似,得分位于對角線上方表示WDRC線路效果更好,而下方則表示CL線路效果更好。</span></p><p><span style="font-size:16px;"> 對重度聽損患者來說,輸入輕聲和中等聲時WDRC線路比CL線路效果更好;輸入響聲時兩種線路的區別并不大。所以使用WDRC線路可以獲得比CL線路更高的言語識別率。</span></p><p><span style="font-size:16px;"> 壓縮速度:壓縮越深可聽度越高,因為患者可以聽到更寬的聲音響度范圍。</span></p><p><span style="font-size:16px;"> 快反應壓縮(起效和釋放時間很短)可以降低元音(響度較大)增益并提高輔音(響度較小)增益,從而提高可聽度。</span></p><p><span style="font-size:16px;"> 所以理論上來講,對于重度聽損人士,使用多通道助聽器、低壓縮拐點、高壓縮比、音節壓縮,可以最大程度提高驗配效果。</span></p><center><span style="font-size:16px;"><img alt="" src="/upfiles/201810160127304305.png" width="600" height="500" /></span></center><p></p><p><span style="font-size:16px;"> 但壓縮越深就意味著有聲音失真越大,音節壓縮丟失了重要言語信息,導致輔音分辨不清。若要保留這些信息,則需要慢反應壓縮(起效和釋放時間較長)。</span></p><p><span style="font-size:16px;"> 最好的情況是在提高可聽度的同時還保證信號不失真,但目前很難實現,找到二者的平衡點是最佳的選配方案。</span></p><center><span style="font-size:16px;"><img alt="" src="/upfiles/20181016012736476.png" width="440" height="250" /></span></center><p></p><p><span style="font-size:16px;"> 上圖為一組重度聽力損失患者選配快速和慢速WDRC線路的言語識別率對比。</span></p><p><span style="font-size:16px;"> 在輸入聲級為50和65 dB SPL時,快反應壓縮線路的受試者得分明顯比慢反應壓縮線路的受試者差;在80 dB SPL輸入聲級下則并無明顯差別。</span></p><p><span style="font-size:16px;"> 對輕度和中度聽力損失患者來說,無論何種輸入聲級,兩種壓縮方式的得分都沒有明顯差別(并未在圖中顯示)。</span></p><p><span style="font-size:16px;"> 對極重度聽力損失患者來說,可聽度比其他任何信息都重要,快反應壓縮線路效果比慢反應壓縮線路更好。</span></p><p><span style="font-size:16px;"> 綜上所述,在使用多通道WDRC線路助聽器前提下,一定程度的可聽度是必須的,在這個基礎上要追求最低的失真(最低的壓縮比以及最慢的壓縮),才能達到最好的驗配效果。</span></p><p><span style="font-size:16px;"> 我們經常會遇到重度聽力損失患者,應該找到適合他們的驗配策略并提供心理和生理咨詢。</span></p><p><span style="font-size:16px;"> 助聽器選配的效果受到外周及中樞聽覺系統的能力限制,重度感音神經性聽力損失患者很少能在噪音環境中聽清。</span></p><p><span style="font-size:16px;"> 但是,通過仔細的驗配和回訪調試,我們依然可以取得很好的效果。重度聽力損失患者體現了聽覺系統的復雜性,提醒我們僅僅增加增益對提高患者交流能力是遠遠不夠的。</span></p><p><span style="font-size:16px;"></span></p><p> 更多詳情請登錄www.caosairsoft.com</p>" />
重度聽力損失是500Hz、1000Hz、2000Hz和4000Hz平均聽閾在61dB HL和80dB HL之間的聽力損失。重度聽損患者更趨向于:
(1)聽力損失時間較久;
(2)有助聽器佩戴史;
(3)言語分辨率較低;
(4)噪音環境中交流困難。
1、重度聽力損失的特點
60dB HL是單純外毛細胞損傷和內外毛細胞共同損傷的分界點,內毛細胞受損預示著重度聽力損失,這類患者的頻率選擇能力降低,在相關頻率范圍內難以分辨兩種聲音。這是噪聲環境下交流困難的主要原因。
簡單來說,頻率選擇能力越低,自身降噪能力越差,噪聲下識別信號的能力也就越差。

2、選擇合適的放大策略
反饋抑制:這項技術在傳統方法的基礎上有更好的減少嘯叫的效果。
指向性麥克風:有指向性功能的助聽器可以明顯提高信噪比(SNR)。現在自適應指向性麥克風廣泛地應用于大功率耳背機中。
對于噪聲下言語交流困難的重度聽力損失患者,選配帶有指向性麥克風的助聽器效果顯著。
聽力學家對重度聽損人士的指向性麥克風做過獲益度測試,發現平均言語識別能力提升了14%。
重度聽損患者使用指向性功能時必須保證一定低頻增益,否則他們會感覺聲音不夠洪亮。

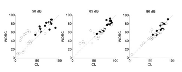
寬動態范圍壓縮線路(WDRC):
如下圖,白點是重度聽力損失患者的輔音識別得分,黑點是輕度至中度聽損患者的輔音識別得分;每位受試者佩戴四通道的耳背機,驗配采用NAL公式;測試言語聲強度分別為50dB SPL、65dB SPL和80dB SPL;比較WDRC和線性輸出壓縮限制(CL)兩種線路的得分。

等分位于對角線附近代表兩種處理方式效果相似,得分位于對角線上方表示WDRC線路效果更好,而下方則表示CL線路效果更好。
對重度聽損患者來說,輸入輕聲和中等聲時WDRC線路比CL線路效果更好;輸入響聲時兩種線路的區別并不大。所以使用WDRC線路可以獲得比CL線路更高的言語識別率。
壓縮速度:壓縮越深可聽度越高,因為患者可以聽到更寬的聲音響度范圍。
快反應壓縮(起效和釋放時間很短)可以降低元音(響度較大)增益并提高輔音(響度較小)增益,從而提高可聽度。
所以理論上來講,對于重度聽損人士,使用多通道助聽器、低壓縮拐點、高壓縮比、音節壓縮,可以最大程度提高驗配效果。

但壓縮越深就意味著有聲音失真越大,音節壓縮丟失了重要言語信息,導致輔音分辨不清。若要保留這些信息,則需要慢反應壓縮(起效和釋放時間較長)。
最好的情況是在提高可聽度的同時還保證信號不失真,但目前很難實現,找到二者的平衡點是最佳的選配方案。

上圖為一組重度聽力損失患者選配快速和慢速WDRC線路的言語識別率對比。
在輸入聲級為50和65 dB SPL時,快反應壓縮線路的受試者得分明顯比慢反應壓縮線路的受試者差;在80 dB SPL輸入聲級下則并無明顯差別。
對輕度和中度聽力損失患者來說,無論何種輸入聲級,兩種壓縮方式的得分都沒有明顯差別(并未在圖中顯示)。
對極重度聽力損失患者來說,可聽度比其他任何信息都重要,快反應壓縮線路效果比慢反應壓縮線路更好。
綜上所述,在使用多通道WDRC線路助聽器前提下,一定程度的可聽度是必須的,在這個基礎上要追求最低的失真(最低的壓縮比以及最慢的壓縮),才能達到最好的驗配效果。
我們經常會遇到重度聽力損失患者,應該找到適合他們的驗配策略并提供心理和生理咨詢。
助聽器選配的效果受到外周及中樞聽覺系統的能力限制,重度感音神經性聽力損失患者很少能在噪音環境中聽清。
但是,通過仔細的驗配和回訪調試,我們依然可以取得很好的效果。重度聽力損失患者體現了聽覺系統的復雜性,提醒我們僅僅增加增益對提高患者交流能力是遠遠不夠的。
更多詳情請登錄www.caosairsoft.com
上一篇:外耳道疾病與助聽器驗配
下一篇:解析何為助聽器的頻段與通道
聆康聽力集團官網:www.linkind.top(點擊跳轉)
全國服務熱線:400-690-1828 客戶咨詢熱線:020-87066099服務質量監督熱線:17765267320
合作熱線:袁先生18998427212
總部地址:廣州市南沙區市南路13號1棟107室
服務號
訂閱號
